Subscribe to our "Population in Perspective" Substack Here!
23 June 2020
On 5 May 2020 we published the article 'Demographic science aids in understanding the spread and fatality rates of COVID-19' in the Proceedings of the National Academy of Sciences. The open access article is available here. In that article, we argued that because deaths have been concentrated at older ages, we highlight the important role of demography, particularly, how the age structure of a population may help explain differences in fatality rates across countries and how transmission unfolds. We examined the role of age structure in deaths thus far in Italy and South Korea by early April 2020 and illustrated how the pandemic could unfold in populations with similar population sizes but different age structures, showing a dramatically higher burden of mortality in countries with older versus younger populations. This powerful interaction of demography and current age-specific mortality for COVID-19 suggests that social distancing and other policies to slow transmission should consider the age composition of local and national contexts as well as intergenerational interactions. Our arguments have been widely picked up in the scientific literature and the international media.
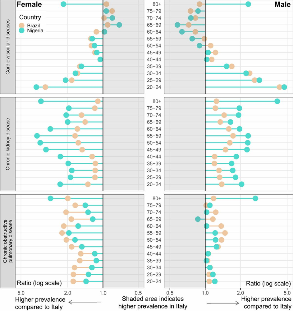
On 23 June 2020 we were delighted to have a vibrant academic exchange in PNAS and acknowledge an excellent extension of our work by Marilia R. Nepomuceno and colleagues: Besides population age structure, health and other demographic factors can contribute to understanding the COVID-19 burden.
In our response we note one misinterpretation of our work, but strongly endorse and welcome their extension. Read the full response ,,here. We were pleased to be able to reiterate many of our original points and once again make a vital call for nations to release detailed social and demographic COVID-19 data.
Figure 1 from Nepomuceno et al. (2020) - Relative prevalence by health condition and age in Brazil and Nigeria compared to Italy: female and male, 2017.

Source: https://www.pnas.org/content/117/25/13881/tab-figures-data